ACESSIBILIDADE MAPA DO SITE POLÍTICA DE PRIVACIDADE
Home do Site Câmara Múnicipal de Pedreira
ASSISTIR AS SESSÕES
Última Atualização do Portal 23/04/2026
Início   >>   Legislação   >>   Decreto - N° 1801 de 28/11/2008
LEGISLAÇÃO
Referente aos anos de 1945 à 2021

Decreto - N° 1801 de 28/11/2008

Autor: Hamilton Bernardes Junior

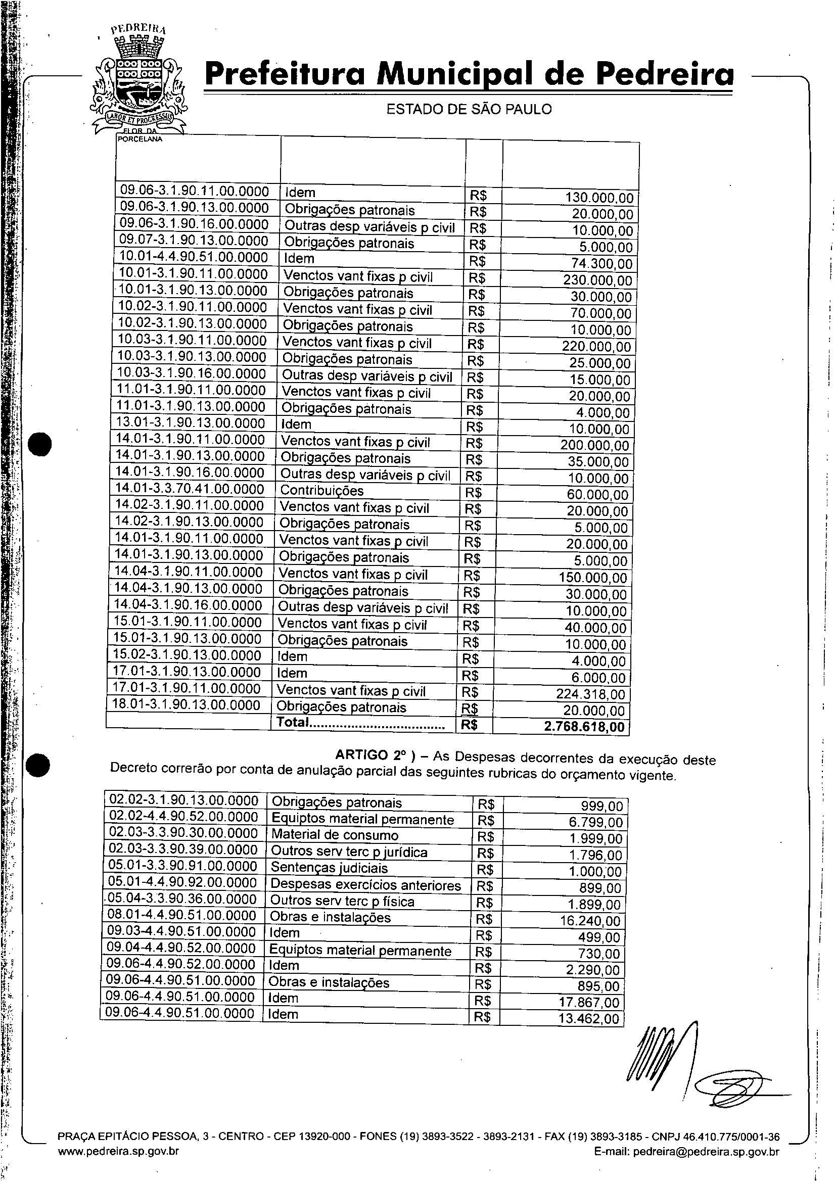
Ementa: Abre crédito suplementar no valor de R$ 2.768.618,00

Página 1

 

Página 2

 

Página 3

 

Página 4

 

 

Desenvolvido por Via Brasil Web Project